PHYSICS the 21st Century
based on a single, unitary principle
Prof. PETAR RASHKOV PENCHEV, Doctor of Technical Sciences
Doctor Honoris Causa of the Technical University of Sofia
Please choose your language
Авторът проф. д. т. н. Петър Рашков Пенчев, роден на 12.07.1923 г. в с. Стефан Стамболово – Велико Търновска област, преподавател е в Техническия университет от януари 1950 г. – София (Катедра “Електрически апарати”), а от 1938 г. работи по въпросите на единната наука. До настоящия момент има издадени голям брой публикации по въпросите, разглеждани в тази книга и издадени 18 монографии.
Сваляне на книгата в PDF формат
проф. д.т.н. Петър Рашков Пенчев
ж.к. “Младост І”, бл. 90, вх. 9, София 1797
дом. тел. +359-2-8706805
e-mail: iliana@tu-sofia.bg
yatchev@tu-sofia.bg
© проф. дтн Петър Пенчев, Физика на XXI век с едно единствено начало, 2007.
Изхожда се от опитните факти, че електронът и позитронът генерират електрическо, магнитно и гравитационно полета, а при взаимодействие пораждат фотони, протони и неутрони. От тези факти следват изводите: а) че протоните и неутроните са с електромагнитната същност на електроните и позитроните, които са най-малките самостоятелни двуполярни електрически заряди и б) че атомите (молекулите), които са структура от електрони, протони и неутрони са също с електромагнитна същност – т. е. атомите са от електромагнитна материя.
От анализа на горните факти, се установява, че те като цяло и като части, се описват само с уравненията на Дж. К. Максуел и на С. Поансон (1813 г.) за гравитацията на Нютон. И за това те формират система от шест уравнения, наречена Принципал, с която могат да се опишат всички явления на природата, като едно цяло.

Доказано е, че в действителност няма, нито теория на относителността, нито вълни на де Бройл, защото те се отхвърлят от закона за запазване на енергията. И още е доказано, че термодинамиката е специфична електродинамика с детерминирана, а не с вероятностна закономерност, поради което се отхвърля ентропията.
Автор проф. д. т. н. Петр Рашков Пенчев, родил ся 12.07.1923 г. в с. Стефан Стамболово – Велико Тырновская област, преподаватель Технического университета с января 1950 г. – София (Кафедра “Електрические апараты”), а с 1938 г. работает по вопросом единной науки. С настоящего момента он опубликовал большое количество публикации по вопросом, разработаны в этом книге и публиковал 18 монографии.
Для контактов:
проф. д.т.н. Петр Рашков Пенчев
ж.к. “Младост І”, бл. 90, вх. 9, София 1797
дом. тел. +359-2-8706805
e-mail: iliana@tu-sofia.bg
yatchev@tu-sofia.bg
© проф. дтн Петр Пенчев, Физика XXI века с одним единственным началом, 2007.
Исходим из опытных фактов, что электрон и позитрон генерируют электрическое, магнитное и гравитационное поля и что при их взаимодействии пораждаются фотоны, протоны и нейтроны. Из этих фактов вытекают следующие выводы: а) что протоны и нейтроны имеют электромагнитную сущность электронов и позитронов, которые являются наименьшими самостоятельными двупхолярными электрическими зарядами и б) что атомы (молекулы), которые представляют собой структуру из электронов, протонов и нейтронов тоже имеют электромагнитную сущность – т. е. атомы состоят из электромагнитной материи.
Из анализа выше упомянутых фактов устанавливается, что как целое и как части они описываются только уравнениями Дж. К. Максвелла и С. Поасона (1813 г.) о гравитации Ньютона. И поэтому они формируют систему из шести уравнений, названную Принципалом, с помощью которой могут быть описаны все явления природы като одно целое.

Доказано, что в действительности нет ни теории относительности, ни волн де Бройля, потому что они отвергаются законом сохранения энергии. И еще доказано, че термодинамика представляет собой специфическую электродинамику с детерминированными, а не с вероятностными законами, в результате чего отбрасывается энтропия.
The author, Prof. Dr. Sci. Petar Rashkov PENCHEV was born on July12-th, 1923 in Stefan Stambolovo, Veliko Tarnovo R. Prof. Penchev has been teaching at the Technical University of Sofia (Dept. of Electrical Apparatuses) since January 1950. His research interests connected with the issues presented here date back to 1938. To the present moment Prof. Penchev has published a lot of publications on the problems considered, including 18 monographs.
Contacts:
Prof. Petar Rashkov Penchev, D. T. S.
Mladost I, bl. 90, entr. 9, Sofia 1797
home phone: +359-2-8706805
email: iliana@tu-sofia.bg
yatchev@tu-sofia.bg
© Prof. Petar Rashkov Penchev, D. T. S., The 21-st century Physics based on a single, unitary principle, 2007
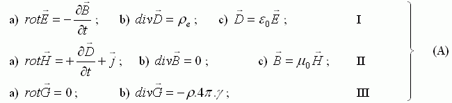
The mathematical description of the Principal (the unitary initial deductive principle) cannot be expressed by one single formula only (equation); a system of differential equations is needed instead, which will describe the most general initial and fundamental principles, which may be:
Forming the Principal into a system of differential equations at the present level of knowledge of nature is possible by using two classical and experimentally well established theories about the perceptible natural phenomena, on condition that electromagnetic resource generates gravitation, i. e. that electromagnetic density of the mass of the objects generates the gravitational field. These theories are:
Through the equations of these classical physical theories, a system of equations is formed:

Consequences from the Principal:
Conclusion:
From a fundamental (general) point of view, the first and genetic property of matter and its manifestations (including its gravitational field) have solely and only electromagnetic nature, i.e. matter and its genetic manifestations, as well as all interactions of forces, as causal genetic phenomena, have solely and only electromagnetic character, i.e. that the principle of electromagnetic nature of matter has no alternative and is definitely an adequate groundwork principle of physics.